- Explore MCP Servers
- ReAct-MCP
React Mcp
What is React Mcp
ReAct-MCP is a framework that integrates ReAct with MCP to facilitate complex task execution using OpenAI models. It serves as an interface for tool execution, response handling, and communication between various MCP client instances.
Use cases
Use cases for ReAct-MCP include building intelligent virtual assistants, automating customer service interactions, enhancing user engagement through conversational interfaces, and integrating AI-driven tools in software applications.
How to use
To use ReAct-MCP, clone the repository, navigate to the project directory, install the dependencies, set up your environment variables with the OpenAI API key, and run the main application using the command ‘pnpm run dev’.
Key features
Key features of ReAct-MCP include the initialization of multiple MCP clients, invocation of chat prompts for generating responses, dynamic handling of multi-turn conversations, and secure connections to MCP servers for executing tool calls.
Where to use
ReAct-MCP can be used in various fields such as customer support automation, interactive chatbots, educational tools, and any application requiring complex task management and communication with AI models.
Clients Supporting MCP
The following are the main client software that supports the Model Context Protocol. Click the link to visit the official website for more information.
Overview
What is React Mcp
ReAct-MCP is a framework that integrates ReAct with MCP to facilitate complex task execution using OpenAI models. It serves as an interface for tool execution, response handling, and communication between various MCP client instances.
Use cases
Use cases for ReAct-MCP include building intelligent virtual assistants, automating customer service interactions, enhancing user engagement through conversational interfaces, and integrating AI-driven tools in software applications.
How to use
To use ReAct-MCP, clone the repository, navigate to the project directory, install the dependencies, set up your environment variables with the OpenAI API key, and run the main application using the command ‘pnpm run dev’.
Key features
Key features of ReAct-MCP include the initialization of multiple MCP clients, invocation of chat prompts for generating responses, dynamic handling of multi-turn conversations, and secure connections to MCP servers for executing tool calls.
Where to use
ReAct-MCP can be used in various fields such as customer support automation, interactive chatbots, educational tools, and any application requiring complex task management and communication with AI models.
Clients Supporting MCP
The following are the main client software that supports the Model Context Protocol. Click the link to visit the official website for more information.
Content
LLM + MCP + RAG
目标
- Augmented LLM (Chat + MCP + RAG)
- 不依赖框架
- LangChain, LlamaIndex, CrewAI, AutoGen
- MCP
- 支持配置多个MCP Serves
- RAG 极度简化板
- 从知识中检索出有关信息,注入到上下文
- 任务
- 阅读网页 → 整理一份总结 → 保存到文件
- 本地文档 → 查询相关资料 → 注入上下文
The augmented LLM

classDiagram class Agent { +init() +close() +invoke(prompt: string) -mcpClients: MCPClient[] -llm: ChatOpenAI -model: string -systemPrompt: string -context: string } class ChatOpenAI { +chat(prompt?: string) +appendToolResult(toolCallId: string, toolOutput: string) -llm: OpenAI -model: string -messages: OpenAI.Chat.ChatCompletionMessageParam[] -tools: Tool[] } class EmbeddingRetriever { +embedDocument(document: string) +embedQuery(query: string) +retrieve(query: string, topK: number) -embeddingModel: string -vectorStore: VectorStore } class MCPClient { +init() +close() +getTools() +callTool(name: string, params: Record<string, any>) -mcp: Client -command: string -args: string[] -transport: StdioClientTransport -tools: Tool[] } class VectorStore { +addEmbedding(embedding: number[], document: string) +search(queryEmbedding: number[], topK: number) -vectorStore: VectorStoreItem[] } class VectorStoreItem { -embedding: number[] -document: string } Agent --> MCPClient : uses Agent --> ChatOpenAI : interacts with ChatOpenAI --> ToolCall : manages EmbeddingRetriever --> VectorStore : uses VectorStore --> VectorStoreItem : contains
依赖
git clone [email protected]:KelvinQiu802/ts-node-esm-template.git
pnpm install
pnpm add dotenv openai @modelcontextprotocol/sdk chalk**
LLM
MCP
RAG
- Retrieval Augmented Generation
- 各种Loaders: https://python.langchain.com/docs/integrations/document_loaders/
- 硅基流动
- 邀请码: x771DtAF
- json数据
向量
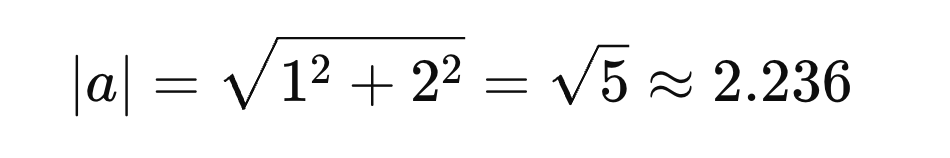
- 维度
- 模长
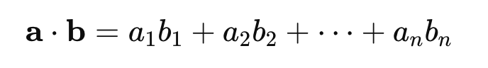
- 点乘 Dot Product
- 对应位置元素的积,求和
- 余弦相似度 cos
- 1 → 方向完全一致
- 0 → 垂直
- -1 → 完全想法




Dev Tools Supporting MCP
The following are the main code editors that support the Model Context Protocol. Click the link to visit the official website for more information.










